Group Of Exoplanets Discovered Where Life Could Exist Using New Research
Scientists have discovered a group of exoplanets where they believe chemical conditions that could have led to life on Earth may exist. The scientists are from the University of Cambridge and the Medical Research Council Laboratory of Molecular Biology. The team found that the chances that life develops on the surface of a rocky planet like Earth are tied directly to the type and strength of light given off by the host star the planet orbits.
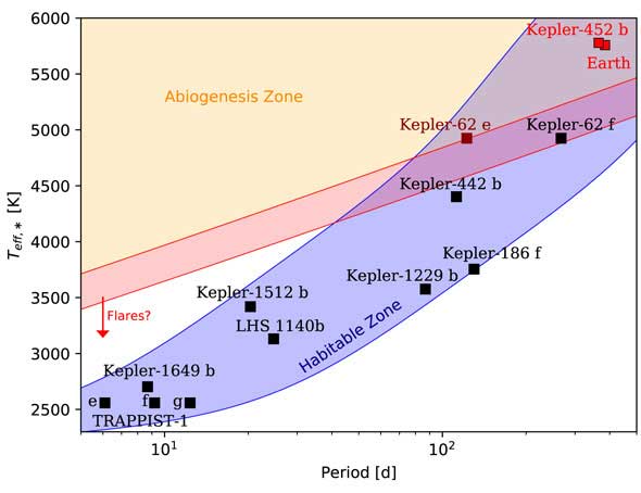
The study proposes that stars that give off enough ultraviolet light (UV) could kickstart life on planets that orbit around them in the same was some believe life started on Earth. The UV light is thought to be required to power a series of chemical reactions that produce the building blocks of life. With that discovery, the team has identified a group of exoplanets where UV light from the host star is sufficient to power these reactions and where the planets orbit in the habitable range where liquid water could exist on the surface of the planet.
With those two factors considered the team was able to narrow down a list of planets considered to be the best places to search for life outside of Earth. The new study builds on work from Professor John Sutherland that proposed that the poison cyanide was a key ingredient in the primordial soup believed to have resulted in the origin of all life on Earth.
That paper suggests that carbon from meteorites that hit Earth in its early days interacted with nitrogen in the atmosphere to form hydrogen cyanide. Those chemicals are then through to have interacted to form RNA, a close relative to DNA, believed to be the first molecule to carry life. Sutherland's team was able to recreate those chemical reactions under UV lamps in the lab and were able to generate precursors to lipids, amino acids, and nucleotides, all essential components of living cells.
The team says that stars around the same temperature as our Sun emitted enough light for the building blocks of life to form. However cooler stars don't produce enough light for those components to form. Among the planets that orbit a star the new research suggests to be of the right type and to produce the right amount of light, many were discovered by the Keppler telescope. The team points out that it is certainly possible for life to develop on planets in ways other than it developed on Earth.
SOURCE: University of Cambridge

